logowanie

matematyka » forum » forum zadaniowe - szko砤 ponadpodstawowa » zadanie

Granica funkcji, zadanie nr 6177

ostatnie wiadomo艣ci  |  regulamin  |  latex

AutorZadanie / Rozwi膮zanie

smutnyy
post贸w: 2
2018-09-24 23:16:45

Krysicki, W艂odarski zad 5.28
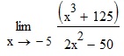
\lim_{x \to -5}\frac{x^{3}+125}{2x^{2}-50}


smutnyy
post贸w: 2
2018-09-24 23:22:00




tumor
post贸w: 8070
2018-09-25 20:34:43

$\frac{(x+5)(x^2-5x+25)}{2(x-5)(x+5)}$

co dalej?


radagast
post贸w: 2
2018-09-26 11:36:30

skr贸ci膰 wsp贸lny czynnik


strony: 1

Prawo do pisania przys艂uguje tylko zalogowanym u偶ytkownikom. Zaloguj si臋 lub zarejestruj

© 2019 Mariusz iwi駍ki      o serwisie | kontakt   drukuj