logowanie

matematyka » forum » matematyka » temat

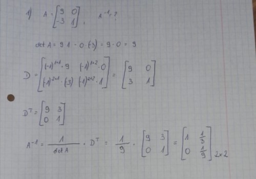
Proszę o sprawdzenie zadań i zaznaczenie błędów, które popełniłem

ostatnie wiadomoÅ›ci  |  regulamin  |  latex

AutorWiadomość

buchaj12
postów: 2
2022-02-05 11:05:31

Proszę o zaznaczenie błędów



buchaj12
postów: 2
2022-02-05 11:10:28



strony: 1

Prawo do pisania przysługuje tylko zalogowanym użytkownikom. Zaloguj się lub zarejestruj

© 2019 Mariusz ¦liwiñski      o serwisie | kontakt   drukuj