Analiza matematyczna, zadanie nr 2060
ostatnie wiadomości | regulamin | latex
| Autor | Zadanie / RozwiÄ…zanie |
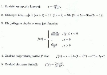
malade19 postów: 2 | 2014-02-01 21:17:22![]() bardzo prosze o pomoc |
tumor postów: 8070 | 2014-02-01 22:05:11Nie wstawiamy skanów, nie wstawiamy linków. Tylko zadania. |
| strony: 1 | |
Prawo do pisania przysługuje tylko zalogowanym użytkownikom. Zaloguj się lub zarejestruj
2014-02-01 21:17:22