Algebra, zadanie nr 6314
ostatnie wiadomo艣ci | regulamin | latex
| Autor | Zadanie / Rozwi膮zanie |
damian123 post贸w: 19 | 2020-05-26 09:45:21$\alpha$0=7/0,05*2 $\alpha$0=$\alpha/c*l$ $\frac{\delta\alpha0}{\delta\alpha}$=0,05*2 $\frac{\delta\alpha0}{\delta\alpha}$= 1/0,05*2 Kt贸ra pochodna jest prawid艂owa i dlaczego? Gubi臋 si臋 w tym. |
chiacynt post贸w: 749 | 2020-05-26 14:03:39Brak czytelnego zapisu w LateX. |
damian123 post贸w: 19 | 2020-05-26 14:30:09![]() Kt贸ry prawid艂owy i dlaczego? |
chiacynt post贸w: 749 | 2020-05-26 14:40:58Brak czytelnego zapisu w LateX. Na gryzmo艂y trudno mi odpowiedzie膰. |
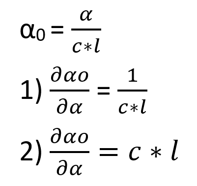
damian123 post贸w: 19 | 2020-05-26 16:04:49![]() Kt贸ry wz贸r z pochodn膮 cz膮stkow膮 dobry i dlaczego? |
chiacynt post贸w: 749 | 2020-05-26 16:54:28Pierwszy, bo mamy funkcje liniow膮 wzgl臋dem zmiennej $ \alpha $ $ (Const\cdot \alpha)\'_|{\alpha} = C $ gdzie $ Const = \frac{1}{c\cdot l} $ - sta艂a. |
| strony: 1 | |
Prawo do pisania przys艂uguje tylko zalogowanym u偶ytkownikom. Zaloguj si臋 lub zarejestruj
2020-05-26 09:45:21
